新书推介:《语义网技术体系》
作者:瞿裕忠,胡伟,程龚
   XML论坛     W3CHINA.ORG讨论区     >>计算机科学论坛<<     SOAChina论坛     Blog     开放翻译计划     新浪微博  
 
  • 首页
  • 登录
  • 注册
  • 软件下载
  • 资料下载
  • 核心成员
  • 帮助
  •   Add to Google

    >> 本版讨论Semantic Web(语义Web,语义网或语义万维网, Web 3.0)及相关理论,如:Ontology(本体,本体论), OWL(Web Ontology Langauge,Web本体语言), Description Logic(DL, 描述逻辑),RDFa,Ontology Engineering等。
    [返回] 计算机科学论坛W3CHINA.ORG讨论区 - Web新技术讨论『 Semantic Web(语义Web)/描述逻辑/本体 』 → 关于SHOIN的构造算子集 查看新帖用户列表

      发表一个新主题  发表一个新投票  回复主题  (订阅本版) 您是本帖的第 2561 个阅读者浏览上一篇主题  刷新本主题   树形显示贴子 浏览下一篇主题
     * 贴子主题: 关于SHOIN的构造算子集 举报  打印  推荐  IE收藏夹 
       本主题类别:     
     kitten_ice 帅哥哟,离线,有人找我吗?
      
      
      等级:大二(研究汇编)
      文章:18
      积分:254
      门派:XML.ORG.CN
      注册:2006/2/20

    姓名:(无权查看)
    城市:(无权查看)
    院校:(无权查看)
    给kitten_ice发送一个短消息 把kitten_ice加入好友 查看kitten_ice的个人资料 搜索kitten_ice在『 Semantic Web(语义Web)/描述逻辑/本体 』的所有贴子 引用回复这个贴子 回复这个贴子 查看kitten_ice的博客楼主
    发贴心情 关于SHOIN的构造算子集

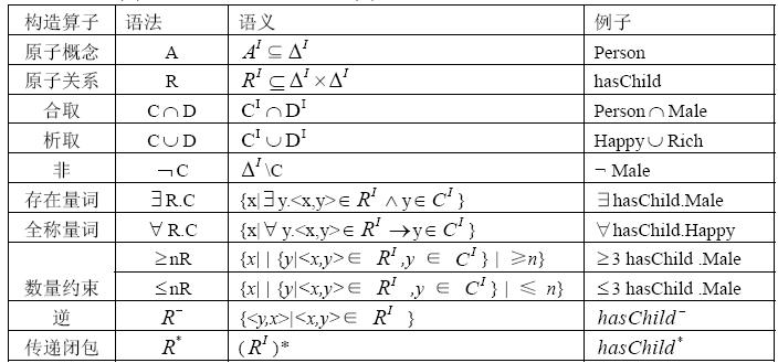
    无法确定SHOIN的构造算子是否包括传递闭包,所以想跟各位确认下SHOIN的构造算子,唉,实在是惭愧,基本功太不扎实了

    此主题相关图片如下:
    按此在新窗口浏览图片

       收藏   分享  
    顶(0)
      




    点击查看用户来源及管理<br>发贴IP:*.*.*.* 2007/4/18 21:35:00
     
     iamwym 帅哥哟,离线,有人找我吗?
      
      
      
      威望:9
      等级:计算机硕士学位(版主)
      文章:2454
      积分:17456
      门派:XML.ORG.CN
      注册:2004/11/14

    姓名:(无权查看)
    城市:(无权查看)
    院校:(无权查看)
    给iamwym发送一个短消息 把iamwym加入好友 查看iamwym的个人资料 搜索iamwym在『 Semantic Web(语义Web)/描述逻辑/本体 』的所有贴子 访问iamwym的主页 引用回复这个贴子 回复这个贴子 查看iamwym的博客2
    发贴心情 
    包括
    有H就有
    点击查看用户来源及管理<br>发贴IP:*.*.*.* 2007/4/19 2:13:00
     
     kitten_ice 帅哥哟,离线,有人找我吗?
      
      
      等级:大二(研究汇编)
      文章:18
      积分:254
      门派:XML.ORG.CN
      注册:2006/2/20

    姓名:(无权查看)
    城市:(无权查看)
    院校:(无权查看)
    给kitten_ice发送一个短消息 把kitten_ice加入好友 查看kitten_ice的个人资料 搜索kitten_ice在『 Semantic Web(语义Web)/描述逻辑/本体 』的所有贴子 引用回复这个贴子 回复这个贴子 查看kitten_ice的博客3
    发贴心情 
    老大,我还有个疑问:Inverseof和Transitive能不能算是Constructors?还是应该跟SubClassOf一样被称为Axioms?
    点击查看用户来源及管理<br>发贴IP:*.*.*.* 2007/4/19 13:08:00
     
     baojie 帅哥哟,离线,有人找我吗?
      
      
      
      威望:9
      头衔:小学生
      等级:研一(参加了一年一度的XML大会)(贵宾)
      文章:667
      积分:4442
      门派:XML.ORG.CN
      注册:2003/11/24

    姓名:(无权查看)
    城市:(无权查看)
    院校:(无权查看)
    给baojie发送一个短消息 把baojie加入好友 查看baojie的个人资料 搜索baojie在『 Semantic Web(语义Web)/描述逻辑/本体 』的所有贴子 点击这里发送电邮给baojie  访问baojie的主页 引用回复这个贴子 回复这个贴子 查看baojie的博客4
    发贴心情 
    不应该叫传递闭包(Transitive Closure),应该是传递属性(Transitive Roles), SHOIN不包括Transitive Closure
    点击查看用户来源及管理<br>发贴IP:*.*.*.* 2007/4/24 11:12:00
     
     cyshooter 帅哥哟,离线,有人找我吗?
      
      
      等级:大二(研究C++)
      文章:40
      积分:259
      门派:XML.ORG.CN
      注册:2005/10/12

    姓名:(无权查看)
    城市:(无权查看)
    院校:(无权查看)
    给cyshooter发送一个短消息 把cyshooter加入好友 查看cyshooter的个人资料 搜索cyshooter在『 Semantic Web(语义Web)/描述逻辑/本体 』的所有贴子 引用回复这个贴子 回复这个贴子 查看cyshooter的博客5
    发贴心情 
    传递闭包(Transitive Closure)是构子,可以作用在属性上;而传递属性(Transitive Roles)可以看成是特殊的属性
    点击查看用户来源及管理<br>发贴IP:*.*.*.* 2007/4/24 16:37:00
     
     GoogleAdSense
      
      
      等级:大一新生
      文章:1
      积分:50
      门派:无门无派
      院校:未填写
      注册:2007-01-01
    给Google AdSense发送一个短消息 把Google AdSense加入好友 查看Google AdSense的个人资料 搜索Google AdSense在『 Semantic Web(语义Web)/描述逻辑/本体 』的所有贴子 访问Google AdSense的主页 引用回复这个贴子 回复这个贴子 查看Google AdSense的博客广告
    2025/10/4 14:38:29

    本主题贴数5,分页: [1]

    管理选项修改tag | 锁定 | 解锁 | 提升 | 删除 | 移动 | 固顶 | 总固顶 | 奖励 | 惩罚 | 发布公告
    W3C Contributing Supporter! W 3 C h i n a ( since 2003 ) 旗 下 站 点
    苏ICP备05006046号《全国人大常委会关于维护互联网安全的决定》《计算机信息网络国际联网安全保护管理办法》
    2,691.406ms